is a Sharia-based Life Insurance Product with Regular Contribution that provides a combination of life protection along with investment opportunities in various Sub-funds based on their specific needs
| Age of Insured Party at the time of death (years) | Death Benefit Payable |
| ≤ 1 | 20% of the Sum Assured |
| 2 | 40% of the Sum Assured |
| 3 | 60% of the Sum Assured |
| 4 | 80% of the Sum Assured |
| ≥ 5 | 100% of the Sum Assured |
| Entry Age - Participant | Minimum 18 years old (nearest birthday). | ||||||||||||||
| Entry Age – Life Assured | 1 month – 70 years old (nearest birthday). | ||||||||||||||
| Contribution Provisions |
Minimum regular contribution:
Maximum regular contribution:
Minimum Single Top Up Contribution IDR1,000,000 Maximum
|
||||||||||||||
| Currency | Indonesian Rupiah (IDR). | ||||||||||||||
| Underwriting |
Entry Age 1 month – 60 years
|
||||||||||||||
| Insurance Benefit |
Minimum: Subject to minimum multiplier requirements for Insurance Benefits. Maximum: Subject to maximum multiplier requirements for Insurance Benefits. Maximum Insurance Benefit for children (up to age 17): IDR 3,000,000,000. |
||||||||||||||
| Insurance Charge |
Insurance Charge shall be imposed from the issuance of the Policy through the monthly deduction of the Regular Basic Contribution Unit on the Ujrah Payment Date* as long as the Policy is in effect. Insurance Charge shall increase from time to time and depend on: The Sum Assured for Basic Insurance and Riders, if applicable, the Age of the Insured Party from time to time, the gender of the Insured Party, medical condition, occupation and hobbies. Insurance Charge is used to pay (i) Tabarru’ Charge; dan (ii) Risk Management Ujrah with the following allocation:
The allocation of the insurance premiums described above may change from time to time in accordance with the applicable rules or policies of the Manager and will be updated on the official Maybank website. For clarity, these insurance premiums will be charged up to the premium payment end date as stated in the policy data. * Ujrah Payment Date: Due date for the payment of Ujrah, starting from the Policy Effective Date and every subsequent month. |
||||||||||||||
| Risk Management Ujrah | This Ujrah is imposed at 50% of the Insurance Charge payable monthly on the Ujrah Payment Date as long as the Policy is in effect. | ||||||||||||||
| Investment Fund Management Ujrah | The maximum Ujrah is 2% (two percent), in accordance with Your selected Sub-funds which shall be imposed annually on Your Policy. | ||||||||||||||
| Investment Value Calculation** |
The value of the total Regular Contributions and Single Top-Up Contributions (if any) formed within the Policy based on the Unit Price at a given time. Unit Price depends on the performance of the selected Sub-Fund investments. |
| Risks Level | Sharia Sub-Fund Option | Investment Strategy | Ujrah* | ||||
|---|---|---|---|---|---|---|---|
| Money Market Sharia Instruments | Fixed Income Sharia Instruments | Sharia Stocks | Allocation of Sharia Instruments | ||||
| In Indonesia | Offshore | ||||||
| Conservative | Allianz Syariah Rupiah Money Market Class B Fund | 100% | 0% | 0% | 100% | – | 1% |
| Moderate | Allianz Syariah Rupiah Fixed Income Class B Fund | 0 – 20% | 80 – 100% | 0% | 100% | – | 2% |
| Allianz Syariah Rupiah Balanced Class B Fund | 25 – 50% | 50 – 75% | 100% | – | 2% | ||
| Aggresive | Allianz Syariah Rupiah Equity Class B Fund | 0 – 20% | 0% | 80 – 100% | 100% | – | 2% |
* Investment Management Ujrah on the Investment Fund per year in accordance with Sub-fund option.
Notes:
Assumed Annual Investment Return Rates: -1%, 0%, 5%, and 10%.
|
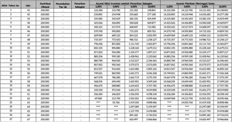
Insured Party Name : Jonas CONTRIBUTION DETAILS
Regular Contribution : IDR200,000,000 |
Financial Planning Needs:
Contribution: IDR200,000,000 |
Table of Projected Investment Value of Contribution Paid (in thousands of Rupiah)



Illustration Benefit
|
Assumed Annual Investment rate
5% |
Jonas |
Financial Planning Needs: |

Notes:
About Allianz Group
Allianz Group is a leading global insurance and asset management company with more than 122 million individual and corporate customers in over 70 countries. Allianz customers benefit from a wide range of insurance services, including individual and group insurance, covering property, life, and health, as well as credit insurance assistance and global business insurance services. Allianz is one of the world’s largest investors, managing insurance customer funds exceeding 714 billion Euros. Meanwhile, our asset managers, PIMCO and Allianz Global Investors, manage an additional 1.7 trillion Euros of third-party assets. Thanks to the systematic integration of ecological and social criteria in business processes and investment decisions, Allianz holds a leading position among insurance companies in the Dow Jones Sustainability Index. In 2022, Allianz Group employed 159,000 people and achieved total revenues of 152.7 billion Euros with an operating profit of 14.2 billion Euros.
About Allianz in Asia
Asia is one of Allianz’s core growth regions, characterized by cultural, linguistic, and traditional diversity. Allianz has been present in Asia since 1910, initially providing fire and marine insurance in coastal cities of China. Today, Allianz operates in 15 markets across the region, offering a wide range of insurance products with core businesses in property and casualty insurance, life insurance, protection and health solutions, and asset management. With more than 36,000 staff, Allianz serves the needs of over 21 million customers in the region through various distribution channels and digital platforms.
About Allianz Indonesia
Allianz began its business in Indonesia by opening a representative office in 1981. In 1989, Allianz established PT Asuransi Allianz Utama Indonesia, a general insurance company. Subsequently, Allianz entered the life, health, and pension insurance business by founding PT Asuransi Allianz Life Indonesia in 1996. In 2006, Allianz Utama and Allianz Life started their Sharia insurance business. In 2023, PT Asuransi Allianz Life Syariah Indonesia officially began operations as a separate entity providing Sharia-based insurance protection and financial risk management. Today, Allianz Indonesia is supported by more than 1,000 employees and over 40,000 marketing personnel, backed by a network of banking partners and other distribution partners. Currently, Allianz is one of the leading insurance companies in Indonesia, trusted to protect more than 10 million insured individuals.
Important Notes: